中国县域发展研究中心
THE CENTER FOR COUNTY DEVELOPMENT RESEARCH
贾力楠,庞金友:基层干部晋升的组织维度与能力维度 ——基于县乡两级的实证考察

作者简介:贾力楠,美国佐治亚大学公共管理与国际关系学院博士研究生;庞金友,中国政法大学政治与公共管理学院副院长,教授,博士研究生导师。

文章来源:《行政论坛》2022年第1期

摘要:对于各级领导干部的晋升逻辑,现有研究大多强调绩效表现和分层考核,对党管干部的重视程度明显不足,对干部能力的界定也较为褊狭,而且忽视了对地市级以下干部晋升机制的研究。通过对数据的政治试验化处理,文章考察了组织和能力两大因素在基层干部晋升过程中的作用。不同变量的二元逻辑回归模型分析表明:党组织对干部的管理和个体综合治理能力是基层干部晋升的重要影响因素,二者不可偏废。模型分析的初步结果表明,经过党校培训的干部比综合治理能力高的干部更有可能得到晋升,然而,深入的模型分析进一步揭示出,在更加贴近政治现实的情境下,只有既经过党校培训,又具备综合治理能力的基层干部才有最大的可能得到晋升。这既印证了党管干部机制和干部综合能力在基层干部选拔中的重要作用,也凸显了中国政府独有的干部管理方式及其优势。

关键词:基层干部晋升;党管干部;政治认同;干部培训


一、问题提出

中国的干部管理制度是多学科数十年经久不衰的研究命题。干部的政治晋升本应是政治学与管理学关注的问题,但最成熟的定量研究却形成于广义经济学领域,甚至已经成为解释中国高速增长“经济之谜”的一个重要理论分支。这些受“古典”政治经济学理论启发的实证探索,发端于薄智跃1996 年完成的博士论文。通过对1949—1994 年中国30 个省级单位正副书记和省长的履历和绩效表现的数据分析,薄智跃认为,经济绩效对省级领导干部的政治升迁有重要的影响,但地方向中央上缴的税收规模较经济增长对晋升的影响更为显著。李宏斌和周黎安基于1979—1995 年的省级数据得出类似的结论,他们认为,省委书记和省长的晋升与GDP 增长率呈显著的正相关关系。在此基础上,周黎安进一步提出广受学界关注的晋升锦标赛理论。陶然等人从逻辑和实证等维度对周黎安的研究结论全面质疑,但这并未改变经济研究路径占据主导地位的基本格局。在政务与信息公开不断强化的大背景下,经济绩效研究路径在地市级领导干部晋升的研究中也形成了明显的优势。

随着干部量化考核体系的全面深化以及政府管理制度化、科学化、精细化进程的日益深入,经济取向的研究也随之发生部分转向。大量研究以井喷式涌现的各类统计数据为基础建构因变量,而传统上作为被解释变量的干部信息与数据转而成为核心自变量。这一技术意义上的变化意味着,是否存在一个从中央到地方并与绩效挂钩的干部考核体系,已经不再是研究关切的核心问题,学者更为关注的是:这一体系如何影响关涉地方经济、社会发展的各种具体问题。政府绩效实际是一个由经济绩效、社会绩效、政治绩效等多方面构成的复合体系,干部晋升与环保、民生、腐败等社会与政治绩效的相关性,也逐步成为部分学者聚焦的主要问题。

关注层级的相对失衡是定量研究体现的另一大特点。中国的干部体系是一个由中央—省—地市—县—乡镇五级构成的金字塔结构,但有关研究总体上却呈现两头小中间大的橄榄球样态,主要原因可能是数据瓶颈的制约。在国家(中央)层面,作为被解释变量的个体信息尽管不存在可得性问题,但解释变量却难以落实于具有普遍性的数据基础。少数研究者尝试从领导干部的社会关系中找寻突破,其结论因此体现了明显的关系取向。总体来说,国家级层面的研究表明,经济增长表现对领导干部晋升的作用弱于其他因素。

有学者对省部级领导干部晋升机制的研究得出不一致的结论。一些研究发现,好的经济增长表现有助于省级干部的晋升,另一些研究则显示,关系对省级领导干部晋升的影响大于其经济表现。还有研究表明,省级领导干部的晋升既取决于关系也取决于经济绩效。关涉地市级干部晋升的研究发现也缺乏一致性。部分学者认为,经济绩效有助于地市级领导干部的晋升;另一些学者则认为经济绩效对地市级领导干部晋升没有显著的作用;亦有论者认为,绩效表现与关系的相互依赖对晋升结果造成了影响。

与省级和地市级不同,县级层次的既有研究多为个案分析和制度考察。定量研究尽管有所突破,但因数据资源的稀缺,少数学者只能聚焦于“优秀县委书记”的升迁考察,其研究结论因此只具有局部的解释力。兰德里(Landry)等人关于省、市、县三级领导干部晋升机制的对比,是目前涉及县级干部晋升机制的系统性的定量研究。他们注意到不同层级晋升研究发现的不一致性,通过综合比较不同层级领导干部的晋升模式后认为,中国的政治选拔似乎遵循一种“双轨模式”:国家对政绩合法性的重视使得较低层级干部的晋升更多地取决于经济表现;国家对政治忠诚度的重视,使得政治因素对较高层级领导干部晋升的影响大于绩效表现。需要进一步明确的是,乡镇级研究相关的因变量和自变量均存在数据制约,定量研究较为薄弱。既有的个案分析和关系取向的研究结论,对于规模庞大的县级以下基层干部的升迁显然不具有普遍性的解释力。

现存的定量研究对政治忠诚度等组织因素的关注相对不足。陈家喜认为,“完整的政绩评价制度包含党管干部、层级考核和绩效晋升等三项制度组合”,而当下的晋升研究大多偏重于后两者,对党管干部与晋升的关系缺乏重视。干部晋升归根结底是一个政治过程,绩效和关系等变量固然存在,但在中国特定的政治语境下,晋升机制中的组织维度本应得到更多的重视。党的十八大以来,随着干部选拔制度的进一步调整,经济绩效因素的重要性比以往有所下降,而党建和廉政等组织层面的要素在干部政绩考核中的重要性上升。这就意味着,对中国干部晋升机制的研究,需要在考虑个体因素的同时,更加重视组织维度的影响因素。党管干部是中国干部管理制度的本质属性之一,已有研究中组织因素的缺位显然表明,上述绩效和关系取向的研究结论,仍未完全拨开各层级领导干部晋升机制的“迷雾”。

少数学者已经尝试引入组织因素解释中国干部晋升背后的普遍性逻辑。庞保庆等人认为,对中国政治的已有研究表现出两种主要取向,即制度化不足(under-institutionalization)和制度化过度(over-institutionalization)。前者更多地强调政府权力行使过程中对已有制度的调整,而后者则倾向于强调已有制度对政治合法性的保障作用。然而,这两种取向都忽略了一个事实,即制度稳定性和灵活性对国家政治发展同等重要。基于此观察,他们提出了干部晋升的“选择性制度化”(selective institutionalization)模式。根据该模式,国家一方面通过制度化的绩效能力来衡量干部的晋升前景,以激励其经济表现,从而保证整体的政治合法性;另一方面,国家倾向于提拔经过党校培训的领导干部,使党校培训成为硬性晋升标准之外的灵活性组织因素。夏洛特·李(Charlotte Lee)对党校培训和干部晋升的研究也表明,党校培训经历与领导干部晋升之间存在正相关关系。然而,组织维度的探索再一次因数据原因而局限于地市级以上的干部群体。

干部个体的能力素养显然也是晋升不可或缺的基本条件。姚洋和张牧扬基于18 个省241 个城市的数据,将个人效应与城市效应区分开来,并对不同城市间轮换任职的干部进行比较后发现,个人效应对于地市级干部晋升的影响强于城市GDP 增速。作为干部个人能力较好的替代指标,个人效应的作用表明,个体的能力因素也是影响晋升的核心变量。林蓉蓉基于人力资本的考察则证明,除了省部级正职领导干部以外,领导干部的教育水平与其政治晋升呈正相关关系。遗憾的是,上述关于干部个体能力素养的考察仍没有触及地市级以下的基层干部群体。

如果将干部晋升纳入中国政治、经济、社会变革与发展的动态演进历程予以考察不难发现,绩效的取得无疑离不开丰裕的人力资本储备。学历教育虽然是人力资本的核心构成部分之一,但其相对静态和稳定的知识供给往往具有滞后性,缺乏对新形势、新政策的解读。在党管干部这一基本政治前提下,领导干部人力资本的提升抑或绩效的取得,需要时效度高、针对性强的理论、知识、技能的供给。不断学习客观上已经成为各级领导干部的“适应之道”,这也是干部培训常态化、普遍化及其制度化的缘由。就此而言,有学者基于党校培训的研究发现,亦可能适用于其他类型的干部培训,并对干部的政治晋升具有普遍性意义。

本文意在探索组织因素和能力因素在干部晋升过程中的互构作用,并通过聚焦基层干部晋升机制对已有文献作出补充。本文实证研究所使用的数据来源于一份独特的县乡级干部培训问卷调查。这一数据来源也使得笔者得以采用干部的大学培训经历,作为其个人综合治理能力的替代变量,克服了基层干部晋升研究中面临的数据可得性难题。与已有的多数定量研究不同,本文使用了更严谨的政治试验数据处理方法,更有效地排除了解释晋升结果时可能的干扰因素,更清晰地揭示了组织维度和能力维度与晋升结果之间动态的因果关系。


二、研究设计

(一)研究假设

 如前所述,已有文献对县处级以下干部晋升机制的研究明显不足,这在很大程度上受制于基层干部相关数据的可得性。由于我国乡科级干部数量庞大,在晋升研究中通常考虑的变量——如干部的政治关系和绩效表现——在基层干部中统计难度较高。这也决定了对基层干部晋升的已有研究多为个案分析,而系统性的量化研究明显不足。本文在这一部分将基于已有研究和笔者所获取的数据资源,提出乡科级基层干部晋升的研究假设。

1.基层干部晋升的组织维度

虽然绩效表现和政治关系通常被认为是影响干部晋升的主要因素,但有学者还是注意到了组织因素在中国干部晋升中的作用。夏洛特·李发现,参加过党校培训的领导干部晋升可能性比未受培训的干部高15%。庞保庆等人也认为,党校培训使地厅级领导干部得到更快的晋升。已有研究总体上表明,党校在培养领导干部的忠诚度、强化组织对干部的影响方面起到关键作用。受此启发,笔者使用基层干部的党校培训经历来衡量基层干部对党组织的忠诚度。

党校系统作为干部培训的核心机构,是中国“最重要、相关研究却最少也最不被理解”的制度设计之一。近年来颁布的有关规定进一步凸显了其重要性。2019 年10 月施行的《中国共产党党校(行政学院)工作条例》明确指出:“党校(行政学院)是党领导的培养党的领导干部的学校,是党委的重要部门,是培训党的各级领导干部的主渠道……坚持党校姓党,把旗帜鲜明讲政治融入党校(行政学院)工作全过程和各方面。”2018 年11 月印发的《2018—2022 年全国干部教育培训规划》规定:“中央党校(国家行政学院)和省、市两级党校(行政学院)教学安排中,以习近平新时代中国特色社会主义思想课程为主,理论教育和党性教育的比重不低于总课时的70%。各级党校(行政学院)、干部学院的主体班次都要设置党性教育课程……确保党性教育课程不低于总课时的20%。”

笔者对2016—2017 年部分地方省、市级党校公开的课程计划与内容进行了分类统计。如图1 所示,理论教育和党性教育约占课程计划的50%,高于其他课程内容所占的比例。上述关于党校培训课程计划的规定意味着当前理论教育和党性教育课程占比可能比笔者所统计的更高。由此可见,培养干部的组织忠诚度始终是党校培训的重要目标,而将理论学习情况“作为考核领导班子和衡量领导干部思想政治素质的重要内容”,意味着党校培训在干部晋升中必然起到不可忽视的重要作用。基于上述分析,提出本文的假设1:有党校培训经历的乡科级干部比未受党校培训的乡科级干部更有可能晋升至县处级。

图片

图1 党校培训课程内容占比

数据来源:部分省、市级党校公开的课程计划与课程设置。

2.基层干部晋升的能力维度

在有关晋升研究的文献中,通常使用地方GDP及其他经济指标来衡量干部绩效。这一衡量标准虽然适用于省、市级等中高层领导干部,但可能难以体现县处级以下基层干部的综合治理能力。乡科级干部是贯彻执行地方政策的主力军。除了促进地方经济发展以外,基层干部还肩负着在基层推行其他重要政策的任务,如党建、教育普及、卫生健康、维持社会治安与稳定等。例如,有学者对2010 年地方劳动纠纷调解的研究显示,17%的纠纷由乡科级干部调解,而由村级干部和县处级干部调解的纠纷只有6%和5%,远低于乡科级干部。这意味着即使经济表现良好,如果在其他如民生等关键政策领域出现失误,基层干部的晋升考核也可能受到负面影响。与高层级领导干部相比,乡科级干部与基层群众的联系更紧密,所参与的政策执行过程也更细致,因此,仅凭广义的地方经济指标难以全面衡量其综合治理能力。

因此,笔者参照关于党校培训的研究,尝试采用一项新的指标——干部在学术机构的培训经历——来衡量基层干部的综合治理能力。采用这一指标的逻辑是:接受过大学培训的基层干部将比没有类似培训经历的干部,有更好的综合政策理解与执行能力,也可能有更好的政绩表现。与课程计划较为固定的党校培训不同,大学培训的课程安排更灵活也更有针对性,更符合基层干部的实际需求(见图2)。例如,某地方政府部门和某大学签订的培训协议显示:“甲方(大学)根据乙方(地方政府部门)的需要和要求,制定教学计划、确定培训教材和教师人选;乙方根据市场需求提出课程设置意见和要求,参与制定培训方案、教学计划,必要时协助聘请师资。”(该资料来自笔者2018—2019 年在北京市和其他省、市的实地调研。)这一合作模式表明,地方政府可以通过大学培训,有针对性地制订更符合基层干部实际需求的课程计划,尤其可能要求大学开设针对地方治理难点问题、对最新颁布的政策进行解读等课程。

图片

  图2 大学培训不同类型课程占比

数据来源:某高校2018 年实施的干部培训计划与班次。

对干部大学培训课程内容的分析可以为上述机制提供进一步的支持。如表1 所示,大学培训课程在很大程度上专注于政策解释与执行方面的知识供给。多数大学培训有着类似的课程结构。根据笔者对一些授课专家的访谈,基层干部亟须补充类似的知识。一方面,很多基层干部教育水平有待提高,对解读和在基层贯彻执行复杂的政策缺乏信心;另一方面,急剧变化的地方经济、社会形势以及上级政府高频度的政策颁布现实,都对基层干部的政策解读和政策执行带来很大的压力。例如,2017 年中共中央办公厅印发了《关于在全国各地推开国家监察体制改革试点方案》后,很多大学的培训课程都围绕基层干部如何在地方执行此项改革来设置。概言之,大学培训是基层干部更新政策知识、提高执政技能的重要途径之一。

表1 所示的大学培训课程内容,可以为衡量干部绩效的传统标准,即经济表现提供一定的启示。大学培训涵盖了很多关于地方经济发展的课程,如地方中小企业管理、税费改革、政府债务和预算管理以及资本和金融市场发展等内容。同时,这些课程也涉及地方行政的其他方面,如社会管理策略、干部纪律、技术发展与政府管理方式改革等。这些课程反映了基层干部执行政策时需要掌握的综合性知识,尤其是与地方经济社会发展相关的领域。

上述大学培训课程的内容设置,在一定程度上为基层干部应对复杂的基层治理问题并促进地方经济增长提供了解释。仅使用经济表现衡量干部绩效,可能夸大干部个人对地方经济的影响,更可能忽略基层治理过程中除了经济发展以外的其他重要治理目标。而大学培训所涵盖的课程,强调基层干部个体的政策理解和执行能力,并兼顾综合社会治理和经济发展,因此,可以作为衡量基层干部综合治理能力的替代指标。

基于此,提出本研究的假设2:有大学培训经历的乡科级干部比未受大学培训的乡科级干部更有可能晋升至县处级。

(二)数据说明

1.数据来源

本文实证分析所使用的数据,来源于北京一所大学在2018 年和2019 年针对干部培训进行的匿名问卷调查。问卷对象是参加该大学培训项目的地方干部,问卷内容包括参训者的基本信息、往期培训经历以及其他培训和工作的相关问题。参训者均为县乡两级基层干部,来自全国26 个省、自治区和直辖市,涉及人大、公安、法院、卫生健康等37 个不同领域和政府部门。虽然问卷样本不能在统计学意义上代表全国的县乡两级干部,但也能在很大程度上反映地方基层干部的基本情况。

2.数据处理和分析方法

虽然本文所使用的数据并不是在实验性条件下收集的,但是统计分析方法的发展为研究者使用问卷调查数据进行因果推断创造了条件。例如,学者可以通过诸如匹配(matching)等数据处理方法,减少问卷调查数据中的选择性偏误(selection bias)。这些数据处理方法使学者得以控制除实验性条件之外的因素可能造成的混杂效应,以进行因果推断。例如,夏洛特·李在使用问卷数据探究党校培训对干部晋升影响的研究中,曾使用常见的匹配方法之一——倾向评分匹配(Propensity Score Matching,即PSM),以检验“实验组”中受过党校培训的干部是否比“对照组”中未受党校培训的干部,更有可能得到晋升这一通过观察性研究难以回答的问题。

然而,近年来学者开始质疑PSM 方法。加里·金(Gary King)等人发现,PSM 方法可能加剧数据结构失衡并导致分析偏差,而粗化精准匹配(Coarsened Exact Matching,即CEM)方法可以有效降低数据结构失衡并减轻模型依赖。作为一种匹配度更高的数据处理方法,CEM 方法在研究者进行数据分析之前,依据涉及的变量将数据严格按照对照组和实验组进行筛选匹配,剔除超出实验组和对照组对应范围的个案,以便最大限度地模仿随机性实验的结果。以干部晋升研究为例,CEM 方法将具有相似年龄段、性别、教育程度、党派等基层干部划归为两个组别,两个组别之间最显著的区别是干部们是否有过培训经历。据此,干部晋升的影响因素就可以被限定为培训经历,而非其他干扰变量。

CEM 方法既可以单独使用,也可以与其他匹配方法结合使用,以得到更准确的分析结果。本文通过对比不同匹配方法的结果,发现结合PSM 和CEM的综合匹配方法,能够获得最理想的数据处理效果。对本文数据的分析表明,使用任意一种匹配方法,都可以减轻原干部培训数据结构的不平衡程度。单独使用PSM 方法和CEM 方法得到的倾向评分类似,但综合PSM 和CEM 两种方法进行匹配后发现,对照组和实验组的数据不平衡降至最低。因此,本文接下来的分析将基于结合这两种匹配方法的数据处理而展开。

(三)变量设定

本文关涉的自变量和因变量的设定,如表2 所示。由于匿名问卷涵盖信息的有限性,个体干部得到晋升的具体时间点并无记录。这使得本研究难以考虑干部晋升所需时间这一变量。虽然已有研究指出了该因素在县处级以上更高层干部晋升中的作用,但目前并无实证研究证明晋升所需时间对县处级以下干部晋升的影响。与已有大多数对干部晋升的研究不同,本文将政治晋升严格限定为从乡科级到县处级的基层干部晋升。现存的大多数研究并没有明确区分不同政府层级之间晋升机制的差异,但最近的晋升研究表明,由于不同级别干部角色的差异,在不同政府层级之间很可能存在相异的晋升机制。因此,本文对因变量的测量结果意味着,有关的研究发现更适用于解释基层干部晋升机制,但其是否适用于解释更高层级领导干部的晋升机制有待进一步考察。

表2 变量设定

图片

问卷涉及的基本情况和描述性统计,见表3。与乡科级干部相比,县处级干部年龄更大,男性更多,中共党员更多,教育程度也更高,并且更多地接受过党校和大学培训,与同事互动也更频繁。有必要指出的是,与部分现有研究不同,本文将基层干部是否为中共党员也作为控制变量。考虑这一变量的原因是,与更高级别领导干部不同,基层干部有相当一部分是非中共党员。在本文的数据库中,18.65%的干部是非中共党员。对该变量进行控制可以排除基层干部因其中共党员身份而更容易得到晋升的可能性。已有文献表明,干部与上级领导的关系以及和同级干部的竞争程度可能都是影响晋升的因素。然而,与高层领导干部相比,基层干部的政治关系难以系统衡量,而且近期研究也对政治关系在基层干部晋升中的作用质疑。此外,基层干部的庞大数量也使得统计其潜在竞争对手成为难以完成的任务。基于此,本文采用基层干部与上级领导和同事的互动频率,作为替代变量控制政治关系和竞争程度对基层干部晋升可能造成的影响。

表3 变量的描述性统计

图片

数据来源:北京某大学2018—2019 年干部培训匿名问卷调查数据库。

本文主要关注培训与基层干部晋升之间的关系。图3 的描述性数据表明,不同类型的培训与基层干部晋升情况可能存在不同的关系。无培训经验组中未晋升干部的百分比高于有培训经验组中未晋升干部的百分比,初步表明,培训可能与晋升有正相关关系。有党校培训经验并得到晋升的干部数量,比得到晋升但没有党校培训经验的干部多12.93%。有大学培训经验并得到晋升的干部数量,比得到晋升但未受过大学培训的干部多6.48%。这些描述性数据初步表明,党校培训对基层干部晋升的作用可能比大学培训更大,但是描述性数据并不能证明干部培训与晋升之间的因果关系。为证明这一关系,我们需要控制可能对该关系造成影响的相关变量。能证明这一因果关系的理想方法是政治实验设定,在严格控制其他因素的前提下,将是否受过培训作为是否晋升的实验性条件。简言之,如果得到晋升和未得到晋升的干部之间在各项条件上都无显著区别,而唯一的显著区别是其是否受过培训,那么就可以在很大程度上证明培训是晋升结果的影响因素。

图片

图3 培训类型与基层干部晋升的描述性数据

值得注意的是,对于大多数问卷调查数据来说,前文所提到的CEM 方法可以减轻但不能完全消除数据结构不平衡问题。这就需要研究者在匹配数据之后,进一步通过统计模型控制剩余的不平衡问题。由于因变量政治晋升是二分类变量,本文在控制其他相关因素的基础上,使用二元逻辑回归模型(logistic regression)来分析培训对基层干部晋升的影响。这一分析模型的选用,也符合林蓉蓉等其他学者在晋升实证研究中通常使用的分析方法。


三、模型回归结果分析

表4 呈现了培训对基层干部晋升影响的回归分析结果。模型1 是本文的主模型,未包括变量间的交互影响。模型2 纳入了党校培训与大学培训的交互变量。模型3 至模型6 探索了在其他条件影响下培训对基层干部晋升的影响。由于逻辑回归与线性回归解读方式的差异,本文对数据分析结果进行了更直观的可视化处理。

模型1 的结果为前文提出的假设提供了佐证,即干部培训对基层干部晋升有促进作用。党校培训和大学培训均与干部晋升呈现显著的正相关关系,而且党校培训的影响比大学培训更强。这些结果表明,有培训经验的基层干部比没有此类经验的基层干部更有可能得到晋升。此外,接受过党校培训的乡科级干部,比接受过大学培训的乡科级干部更可能晋升到县处级。

不同类型的培训对基层干部晋升有着不同的影响。根据表4 模型1 中党校培训和大学培训的标准回归系数,可以计算出两种培训对基层干部晋升影响的预测概率(predicted probability)数值。在其他条件相同的情况下,接受过党校培训的乡科级干部,晋升到县处级的可能性比没有此类培训经历的乡科级干部高8%。该数值虽然低于已有研究中发现的15%的差距,但值得注意的是,已有研究并未将晋升严格限定于从乡科级到县处级[34]。有大学培训经历的乡科级干部晋升概率比未受此类培训的干部高5%。换句话说,党校培训经历对乡科级干部晋升的促进作用比大学培训经历高60%。这一结果表明,党校培训对乡科级干部晋升的影响大于大学培训对其的影响。

表4干部培训对基层干部晋升影响的逻辑回归结果

图片

注:*、**分别表示在5%和1%的统计水平上显著;表中数据为标准回归系数,括号中数据为标准差。

在模型1 的控制变量中,教育水平和年龄都与晋升显著正相关,体现了干部专业化和经验积累对晋升的正向影响。有硕士学历的干部得到晋升的可能性,比低于大学学历的干部高16%。值得注意的是,本文发现的年龄和晋升之间的正相关关系,与已有文献中对省、市级中高层领导干部晋升的研究发现有所不同。这一差异可以用不同级别干部数据库中干部的年龄均值来解释:已有文献中高层干部的年龄均值为60 岁,而本文中乡科级基层干部年龄均值为41 岁,远低于该层级干部晋升的年龄限制。此外,男性干部晋升的可能性并未显著高于女性,这表明,在本文所使用的数据库中,性别不是晋升的关键影响因素。该发现与关于省级领导干部的已有研究一致,为中国干部晋升中的性别平等提供了支持。

在表4 的所有模型中,中共党员身份都不是影响基层干部晋升的显著因素。这表明,是否为中共党员在从乡科级到县处级的晋升中不会起到关键作用。已有研究发现非中共党员在省、市级领导干部晋升中处于弱势,而本文的分析结果则表明,在基层干部中非中共党员晋升的可能性并未显著低于中共党员。有党校培训经历的非中共党员晋升的可能性,甚至略微高于受过党校培训的共产党员。夏洛特·李的研究显示,中共党员参与党校培训的概率比非中共党员高32%。结合这一数据,本文的发现意味着虽然中共党员更可能有党校培训经历,但此类经历对基层干部晋升的正向影响并不局限于中共党员群体。

表4 的分析结果也显示,乡科级干部与同事交流沟通的频率,与其晋升到县处级的可能性呈显著正相关。具体来看,与同事从未沟通的干部晋升概率比与同事沟通非常频繁的干部低10%(这并不意味着与同事互动对晋升的影响大于干部培训,因为变量的衡量方式不同:与同事互动变量是定序变量,而党校培训和大学培训都是二分类变量。)。这一发现为海贝勒(Heberer)和舒伯特(Schubert)的理论提供了实证支持,他们认为,乡科级干部是一个相互依赖的群体,为了得到晋升他们必须协同合作,既提升个人表现,也要保证整个工作单位的表现。这一发现表明,在中国行政体系的不同级别中,激烈的竞争可能不是干部互动的唯一模式。随着行政级别的升高,晋升竞争可能越来越激烈,然而,在基层干部中,协同合作对晋升的影响可能和竞争同等重要。

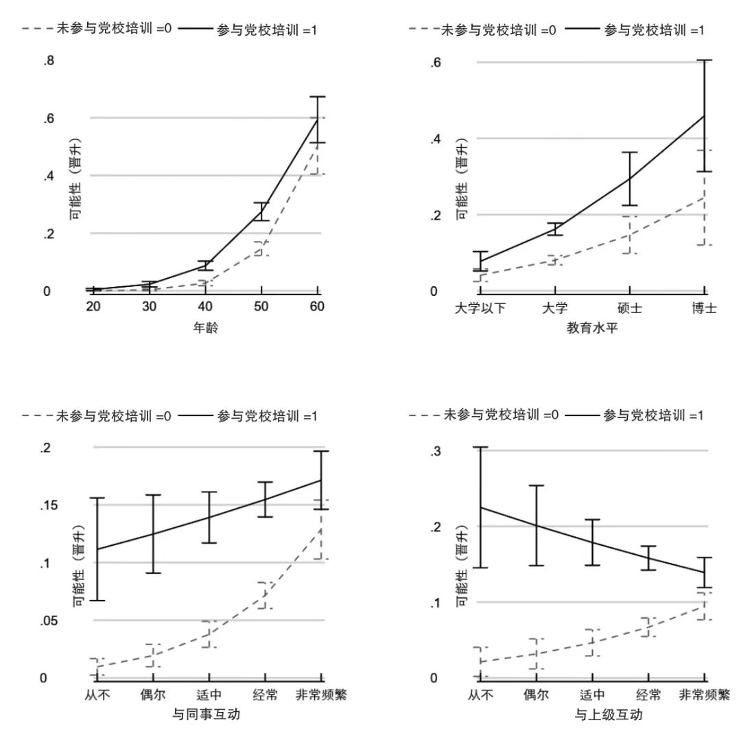
值得注意的是,与上级的互动并不能显著增加基层干部获得晋升的可能性。已有研究发现,与上级的关系对高层干部晋升有影响,而对基层干部晋升并无显著影响。本文的分析结果为这一论断提供了支持。这说明,对干部进行监督和管理的党组织和其他机构在基层干部晋升中的作用,可能大于基层干部与上级领导的个人关系。如图4 右下角显示,随着与上级互动频率的增加,党校培训对晋升的正向影响呈下降趋势。诚然,有培训经历的干部仍比未受培训的干部更有可能得到晋升,然而,党校培训和与上级互动的交互作用对基层干部晋升产生了负面影响。反观问卷中有关这一变量的具体设问不难发现,此类干部独立解决问题的能力可能更低,并且在与上级互动过程中得到更多的展露。

图片

图4 党校培训和其他变量对晋升的交互影响

前文的分析结果表明,党校培训和大学培训在不同程度上对基层干部晋升产生影响。那么,两种培训的综合效果是否会进一步影响晋升?虽然表4 中党校培训和大学培训的交互变量在统计学意义上不显著,但进一步的可视化分析明晰了两种培训对晋升的影响。如图5 所示,将年龄、教育水平、与同事互动和与上级互动等因素都考虑在内,同时拥有党校培训和大学培训经历的基层干部获得晋升的可能性最高。前文关于党校培训和大学培训课程内容的分析表明,拥有两种培训经历的干部,可能既具备对党组织更高的忠诚度,也具备更高的绩效表现和能力素养。既忠诚又有综合治理能力的基层干部成为最具竞争力的群体。与之相对的是,没有任何培训经历的基层干部,获得晋升的可能性最低。这说明,缺乏党组织认可和治理能力不足的基层干部,将难以在中国的政治阶梯上晋升。

图片

图5 不同类型培训和其他变量对晋升的交互影响

更值得注意的是,在只有一种培训经历的干部中,受党校培训的干部仅比受大学培训的干部有微弱的晋升优势(见图5)。这一微小而非可观的区别表明,前文分析结果显示的党校培训对晋升的可观影响,可能只存在于忠诚度与综合治理能力二者选其一的假设情况之下。在这一条件下,对党组织的忠诚度可能是晋升的首要条件。而在更现实的情境下,晋升候选人可能具备多样的能力与条件,晋升的决定也需要对忠诚度与治理能力作出平衡。此时,党校培训并不一定比大学培训赋予基层干部更大的晋升优势。

通过对比图4 和图5 的分析结果,还可以发现培训类型与晋升之间更加复杂的关系。图4 和图5右下角的部分显示,在考虑与上级互动频率的影响时,仅受过党校培训的干部与上级互动越频繁,其晋升的可能性就越低,而同时拥有两种培训经历的干部晋升的可能性,并不随着与上级互动频率的升高而明显上升。已有研究指出,与上级的关系并不能促进基层干部的晋升,本文的发现为这一论断提供了进一步的解释。即使基层干部与上级领导建立关系,并通过党校培训强化其对党组织的忠诚度,如果缺乏一定程度的综合治理能力,他们获得晋升的可能性还是不会上升。大学培训带来的能力提升,似乎可以调和个人政治关系对基层干部晋升带来的负面影响。这种调和效应表明,乡科级干部的组织忠诚度和综合能力都是决定其晋升的重要因素。与上级的关系和组织忠诚度,只有在基层干部兼备综合治理能力时才能对其晋升产生促进作用(为了对以上分析结果进行稳健性检验,笔者对前文所用的分析方式进行了一系列调整后的再检验,具体包括:对仅经过倾向评分匹配(PSM)或粗化精准匹配(CEM)处理的数据分别进行逻辑回归分析;调整粗化精准匹配标准和数据均衡度;在倾向评分匹配(PSM)阶段采用逻辑回归分析(logit),而非通常使用的概率值分析(probit)。采用这些替代方法得到的结果均与前文基本一致,说明本研究的分析结果具有较好的稳健性。为压缩篇幅,有关的检验结果、原始数据以及问卷样本等均未在文中罗列。)。


四、总结与讨论

本文通过对组织忠诚度、综合治理能力与基层干部晋升之间关系的实证研究,对中国干部晋升机制进行了更深入的探讨。已有研究对中高层领导干部晋升机制的探讨较为充分,但关于乡科级干部晋升机制的实证研究少之又少。学者基于不同政府层级干部的研究,对各种因素在干部晋升中的作用提出不一致的解释。绩效表现似乎比政治关系更能够影响较低层级干部晋升,而已有的针对地厅级干部的研究还表明,党校作为强化领导干部忠诚度的机构对干部晋升也有影响。本文利用一份独特的干部培训信息问卷调查数据以及模拟政治试验的数据处理方法,分析了组织维度和能力维度对乡科级干部晋升的影响。

本文的实证结果证实了组织和能力因素与基层干部晋升之间的正相关关系。具体来说,对培训与晋升之间关系的二元逻辑回归模型分析结果显示,有党校培训经历的乡科级干部,晋升到县处级的可能性比没有类似经历的乡科级干部高8%;受过大学培训的乡科级干部,晋升的可能性比未受大学培训的乡科级干部高5%。这表明,党校培训对乡科级干部晋升的促进作用比大学培训高60%。该发现意味着,党校培训带来的组织忠诚度的提升,对基层干部的晋升起到积极作用,而且这种作用甚至可能强于基层干部个人综合能力对晋升的影响,但进一步的分析表明,在更实际的政治情境中,即使受过党校培训的干部也需要兼备一定的综合治理能力才能够获得晋升。而同时拥有党校培训和大学培训经历的乡科级干部是这一层级最具竞争力的群体。此外,与已有研究相呼应,本文发现关系变量本身并不能促进乡科级干部的晋升,如果基层干部不具备一定的综合治理能力,与上级的关系甚至可能降低其获得晋升的可能性。

本文的研究有助于深入理解中国政府治理如何能在保持制度稳定的前提下,取得举世瞩目的经济与社会发展成就。本文的实证分析结果所揭示的基层干部晋升机制,体现了国家在促发展和保稳定之间作出的平衡与努力。党校培训意在培养和考察对党的路线方针政策更熟悉、忠诚度更高的基层干部,然而,只有同时具备一定的综合治理能力,党校培训所强化的忠诚度才能对基层干部晋升产生促进作用。这种对组织维度和能力维度的双重强调,彰显了中国基层干部晋升机制的优越性。已有研究大多专注于干部晋升机制的绩效维度,而忽略了其组织维度,因此,现存的很多对于干部晋升机制的解释很可能不够全面。随着党的十八大以来干部政绩考核中经济指标重要性的下降以及党建与廉政工作的重要性的上升,对不同层级干部晋升机制的深入研究,尤其需要重视除了单纯经济绩效以外的组织能力和综合能力等其他因素的影响。