中国县域发展研究中心
THE CENTER FOR COUNTY DEVELOPMENT RESEARCH
孟凡强、彭志勇、陈亮均:中国县域农民工市民化质量的测度与分解

作者简介:孟凡强,广东财经大学经济学院副研究员,硕士生导师;彭志勇,广东财经大学经济学院硕士研究生;陈亮均,仲恺农业工程学院管理学院硕士研究生

文章来源:《经济地理》2024年第2期。


摘要:提升县域农民工市民化质量是县域城镇化建设的重要内容。文章基于中国流动人口动态监测调查数据,从经济、社会、文化、政治4个维度构建综合评价指标体系,采用逐级等权平均法对县域农民工市民化质量进行了全面测度,然后采用无条件分位数回归方法对测度结果进行分析,并从群体的视角进一步探讨了县域与非县域农民工市民化质量存在差异的影响因素。结果表明:①我国县域农民工市民化质量较低,呈现出东高西低的空间分布格局,县域农民工市民化质量低于非县域农民工。②从差异分解看,县域与非县域农民工市民化质量的差异主要是地区歧视造成的,这种地区歧视主要表现为教育回报率的差距,非县域农民工的教育回报率要远高于县域农民工。③农民工市民化质量的县域与非县域差异随着分位数的提升而增大,但系数差异造成的地区歧视越来越弱。

关键词:县域;农民工;市民化质量;就业;社会融合;文化认同;地区歧视


农民工市民化是推进以人为核心的新型城镇化,实现全体人民共同富裕的重要内容。改革开放以来,城镇化的快速发展成为中国经济持续健康发展的重要推动力。在中国的城镇化过程中,以农民工为主的农村剩余劳动力从传统低技能、土地密集的农业转向人力资本密集的城市非农产业,为中国经济高速增长做出了重要贡献。但当前我国的城镇化发展不均衡,大中城市的城镇化发展充分但“城市病”问题突出,而规模较小且城镇化相对滞后的县城仍然有着巨大发展潜力。目前城区常住人口300万以下城市基本取消了落户限制,如何提高农民工的市民化质量、推进以人为核心的新型城镇化成为新的关注焦点。县域是农村剩余劳动力转移的重要承接地,促进县域农民工市民化既有利于优化我国的城镇化格局,也有利于推动新型城镇化发展。2022年中央一号文件(即《中共中央国务院关于做好2022年全面推进乡村振兴重点工作的意见》)提出“实施县域农民工市民化质量提升行动”。2023年人力资源和社会保障部等9部委发布《关于开展县域农民工市民化质量提升行动的通知》中强调,“落实落细农民工市民化相关政策,着力提高县域农民工就业质量和技能水平”。县域农民工市民化质量的提升体现了以人为核心的新型城镇化,也符合共同富裕的远景目标,具有重要的现实意义。

农民工迁移的原因在于一系列的“力”,包括促使其离开某地的推力和流入某地的拉力。从农民工市民化的内涵层面来看,这一过程体现在社会身份由农民转变为市民,自身素质提高,其意识形态、生活方式和行为方式的城市化,这是农民对城市的需求以及城市满足其需求的能力之间相互作用的结果。从社会融入层面看,农民工整体融入公共服务体系核心,个人融入企业,子女融入学校,家庭融入社区。国外研究也认为市民化是一种社会经济与居住的同化。城市居住环境要素改变会在一定程度上引起农民工在身份、地位、价值观念等方面的变化,但要从心理和文化上融入城镇之后才算得上真正实现了市民化。在市民化水平的测度方法上,由于农民工市民化受到外部制度因素和个体因素的作用,刘传江通过户籍歧视系数方法测度了第一、二代农民工市民化进程。部分学者从微观视角出发,综合居住条件、经济生活、社会关系、政治参与等维度测度了不同群体市民化水平。同时,文化与心理在市民化的过程中也起到了重要的作用,张心洁、辛宝英等在测度农业转移人口市民化指标中加入文化融合、心理认同2个维度。王春超还认为农民工等流动人口的自我实现层面是流动人口市民化的重要方面,故而在经济、社会保障、社会文化、心理4个层面加入自我实现层面,以典型市民为基准测度了流动人口市民化水平。佟大建认为农民工市民化的本质是基本公共服务均等化,从基本公共服务均等化视角测度了农民工市民化水平。由此可见,目前学界对于农民工市民化水平的测度指标与测度方式并未完全统一。

值得关注的是,关于以县城为载体的新型城镇化研究还处于早期阶段,缺乏充分系统的研究。中国式现代化对县域城乡融合发展提出了更高的要求,这种新型城镇化及城乡融合发展对中国式现代化建设有着不可替代的重要推动作用。其中县域市民化作为县域城镇化的重要部分,其本质是依托本地和返乡农民工,在家附近的城镇就业、创业从而实现市民化。从理论上来看,成本是影响农村剩余劳动力流动的根源问题,内生迁移成本视角发现人口会首先向低迁移成本地区迁移。县域作为迁移成本较低的区域,是农民工实现市民化的理性选择,但现阶段县城在就地城镇化中的主要载体作用尚未充分发挥,存在着诸如就业带动不足、城镇化推动力不足等方面的问题。此外,县域的教育、医疗、养老等公共服务以及土地流转、住房政策等都是影响县域农民工市民化的重要因素。

通过对现有文献的梳理发现,目前学界对县域城镇化的研究处于起步阶段,关于县域农民工市民化问题的研究尚不多见,对县域农民工市民化质量的测度研究比较欠缺。有鉴于此,本文将从县域视角出发,利用中国流动人口动态监测调查数据,构建基于经济、社会、文化与政治4个维度的市民化质量综合评价指标体系,对县域农民工的市民化质量进行全面测度与分析,并对县域农民工的市民化问题展开研究;从群体差异的视角,进一步分析县域农民工与非县域农民工市民化质量存在差异的原因。


一、数据、指标与方法

(一)数据来源及说明

本文采用2017年国家卫生健康委的中国流动人口动态监测调查(CMDS)数据。该数据采取分层、多阶段、与规模成比例的PPS抽样,在全国范围内进行,按照随机原则在31个省(自治区、直辖市)和新疆生产建设兵团抽取样本,调查的主要内容包括流动人口的基本信息、就业状况、居住环境以及卫生健康等。根据研究的需要,本文首先根据2018年《中国县域统计年鉴》中对县域的划分与流动人口的流入地所在县域匹配,从而区分县域与非县域流动人口群体;然后留取年龄为15~59周岁的农民工,选取工作状态为就业的群体,且现居住地社区为居委会;在删除信息不全和明显错误的样本后,最后保留县域样本总量为14050个,非县域样本56728个。样本描述性统计表略。

(二)指标体系的构建与说明

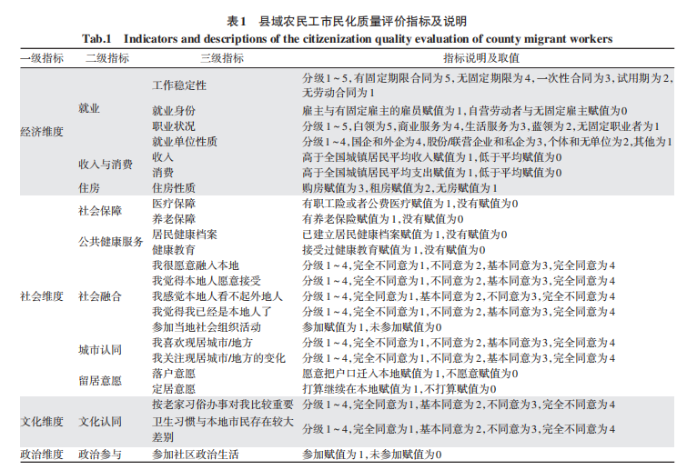
现有研究多集中于对农民工市民化水平的测度,本文在指标选取上较农民工市民化水平的研究基础更全面,且指标的界定标准要比市民化水平更为严格。同时依据国家政策文件对提升县域农民工市民化质量的要求,本文拟从经济、社会、文化、政治4个维度来构建县域农民工市民化质量的评价指标体系,共包括4个一级指标、10个二级指标、23个三级指标,皆为正向指标(表1)。具体评价指标及设定说明如下:

①经济维度选取就业、收入与消费、住房3个方面来衡量县域农民工市民化质量。就业质量代表就业过程中劳动者与生产资料相结合并取得报酬或收入的具体状况的优劣程度。借鉴刘素华、聂伟的做法,本文选取工作稳定性、就业身份、就业单位性质、职业状况来衡量农民工的就业质量。收入水平是农民工在城市生活的基本保障,消费状况是农民工在城市生活质量的直观反映,借鉴王春超的做法,本文选取当年全国城镇人口平均月收入与月支出作为衡量标准。最后,拥有安全稳定的住房是安居乐业的重要方面,借鉴郭新宇的做法,本文选取农民工现在的住房性质衡量居住方面的市民化质量。

②社会维度选取社会保障、公共健康服务、社会融入、城市认同、居住意愿5个方面来衡量县域农民工市民化质量。社会保障是农民工在城市生活工作的重要保障,本文选取是否有城镇职工险或公费医疗以及是否有基本养老保险来衡量社会保障维度的市民化质量,较之既有市民化水平的文献,市民化质量对社会保障的界定标准更为严格。公共健康服务可以通过提升健康水平、增强城市归属感间接提高农民工的留城意愿,因此本文选取是否在城镇建立居民健康档案与是否接受过健康教育来作为衡量指标。社会融入是农民工参与城市生活的体现,农民工和本地市民的联接影响农民工的融入进程,因此本文选取农民工与当地人以及当地社会组织的交流程度来衡量。城市认同是农民工对自己市民身份的肯定以及逐渐融入城市的体现,本文选取其对当前城市的满意度与关注度来衡量。居留意愿是农民工在城市生活真正实现市民化的一部分,本文选取落户意愿与定居意愿来衡量。

③文化维度选取文化认同来衡量县域农民工市民化质量。文化认同是农民工逐渐从农业文化向城市文化的接受过程,借鉴王晓丽的做法,本文选取文化风俗与卫生习惯来衡量文化认同程度。

④政治维度选取政治参与来衡量县域农民工市民化质量。政治参与是反映农民工是否真正向城市居民转变的重要非物质维度。

图片

(三)评价方法及权重设定

鉴于本文在经济、社会等维度指标较多,文化、政治等维度指标较少,为了相同层级指标可以进行横向比较,本文借鉴苏丽锋、王春超等学者的思路,采用逐级等权平均法的客观赋权法来测度县域农民工市民化质量。对三级指标进行数据标准化处理消除量纲影响后,通过逐级加权的方式计算各级指标得分,最后得到县域农民工市民化质量总指数。具体公式如下:

计算第i个个体在第j个指标的市民化质量:

图片

式中:C_quality表示市民化质量指数;scorej为第j个指标的值;wj为第j个指标的权重,包括二级指标、一级指标以及市民化总指数。C_quality的取值范围为[0,100],指标值越大,表明市民化质量越高。


二、中国县域农民工市民化质量测度结果分析

(一)县域农民工市民化质量的总体水平

表2为县域农民工市民化质量的测度结果。根据《中国县域经济发展报告(2020)》显示全国县域发展呈现出不均衡的特征,依据国家统计局对全国四大地区的划分标准,本文分析了全国和四大地区的县域农民工发展差异。从表2看出,全国县域农民工市民化质量总指数为43.22,总体上处于中低水平,县域农民工市民化质量有待提升。分维度来看:①社会维度的县域农民工市民化质量最高,指数为58.66,其中城市认同指数高达78.36,说明县域农民工对城市的认同程度较高;社会融合指数也达到66.83,说明县域就业的农民工社会融合程度较高;但同时也发现县域农民工在社会保障方面的市民化质量仍然有所欠缺,社会保障的市民化质量指数仅为43.05,与公共健康、社会融合、城市认同和居留意愿的差距都较大,说明农民工有融入县域城市的意愿,实现由农村人向城市人身份的转变,但城市未赋予其同等的社会保障权利,在一定程度上降低了其县域农民工市民化的质量。②文化维度的县域农民工市民化质量排第二位,指数为55.68,说明县域农民工转变自己的文化观念、融入城市文化环境的意愿较高。③经济维度的县域农民工市民化质量偏低,指数为42.59,表明县域农民工在就业、收入与消费以及住房等经济维度的状况不佳。④政治维度的县域农民工市民化质量最低,指数仅为15.95,说明县域农民工的政治参与度不高。

图片

分区域来看,中部地区县域农民工市民化质量最高,东部地区和东北地区次之,西部地区最低,但四大区域之间的差异并不大。从各维度来看,东北地区经济维度的县域农民工市民化质量最高,指数为48.68,其中住房的县域农民工市民化质量在四大地区中最高。社会维度方面,中部地区县域农民工在社会保障、公共健康、社会融合、城市认同方面的市民化质量较高,但留居意愿在四大地区中则最低。政治维度方面,四大区域县域农民工政治参与的市民化质量都非常低,最高的中部地区指数仅为19.12,表明县域农民工对政治生活关注不够,政治权利意识不强。文化维度方面,东北地区文化认同的县域农民工市民化质量最高,指数为60.12。

(二)县域农民工市民化质量的省际差异

全国各省份县域农民工市民化质量指数测度结果如图1所示,共有16个省份的县域农民工市民化质量总指数超过全国平均值,其中排名最高的是新疆,总指数为50.18,排名最低的是河南省,总指数为37.29。从四大维度来看,经济维度的县域农民工市民化质量排名前三的省份为江苏、内蒙古和吉林,其中吉林、内蒙古居前列是由于县域农民工的住房维度得分较高,江苏省县域农民工在就业、收入与消费、住房方面的质量较好;社会维度的县域农民工市民化质量排名前三的省份为重庆、新疆、山东;文化维度的县域农民工市民化质量排名前三的省份为重庆、吉林、内蒙古;政治维度的县域农民工市民化质量排名前三的省份是新疆、湖南、西藏。由此可见,各个省份在不同维度上的县域农民工市民化质量指数差异较为明显。在县域农民工市民化质量较低的省份,主要是经济维度和社会维度的农民工市民化质量偏低,这可能与农民工大多从事低端产业的工作和收入较低有关,同时从事此类工作的农民工社会保障质量较差。在其他省份中,县域农民工市民化质量总指数差异较小。总体来看,县域农民工市民化质量的省际差异主要体现在经济和社会维度,在文化和政治维度的差异不太明显。

图片

(三)县域与非县域农民工市民化质量的区域比较

为了考察县域与非县域农民工市民化质量的差异,进一步测算非县域农民工的市民化质量指数(表3)。从表3看出,县域与非县域农民工的市民化质量指数分别为43.22和46.88,表明县域农民工的市民化质量低于非县域农民工。从四大维度来看,县域农民工在经济、社会、文化、政治4个维度的市民化质量都低于非县域农民工,其中差距最大的是经济维度,非县域农民工的经济市民化质量指数为49.13,比县域农民工高6.54,说明非县域农民工的经济状况要优于县域农民工;从二级指标来看,无论是就业质量、收入与消费还是住房状况,非县域农民工都要优于县域农民工。社会维度方面,非县域农民工的市民化质量指数比县域农民工高3.54;二级指标中除了公共健康外,其他指标的非县域农民工质量指数都要高于县域农民工,其中差距最大的是留居意愿,非县域农民工比县域农民工高11.41,这说明农民工在县域定居与落户的意愿显著低于非县域。文化维度方面,县域农民工的文化认同要低于非县域农民工,说明非县域农民工更认同所在城市的文化习惯。政治维度方面,县域农民工比非县域低1.62,但两者的测算结果都非常低,说明无论是县域还是非县域农民工的政治参与度都偏低。总体来看,无论是在客观的经济状况、社会保障还是主观的留居意愿、城市认同等方面,县域农民工的市民化质量都要低于非县域农民工,这也显示了提高县域农民工市民化质量的必要性。

图片


三、县域农民工市民化质量的影响因素与差异分析

(一)变量设定与模型方法

1.变量设定

在对县域与非县域农民工市民化质量的差异进行因素分解前,本文定义的解释变量包括:年龄、性别、婚姻、民族、健康状况、教育年限等个体特征变量;流动范围和流动时间等流动特征变量;家庭规模、父母外出务工经历等家庭特征变量;同时加入地区、行业的固定效应以控制不同区域的经济、社会、政治等发展水平以及不同行业等因素对农民工市民化质量的影响,具体设定见表4。

图片

2.RIF分解

本文采用Firpro、Fortin和Lemieux推广使用的RIF回归分解方法。基于RIF回归的RIF分解式不同于OB分解的均值分解,RIF分解可以获得各统计量分布差异的情况。RIF分解方法首先构造反事实分布函数,采用RIF回归模型得到市民化质量方程后,可以将县域与非县域的农民工、县域的农民工与城城流动人口分解成两个部分:

图片

式中:ν(FYC)为所构造的反事实分布统计量,其个体特征的回报率与对照组相同,个体特征的分布与基准组相同;Δνs对应总体市民化质量差异的系数效应,即回报率不同造成的差异;Δνx对应市民化质量差异的特征效应,即特征分布不同造成的差异;E0为近似误差项。

(二)县域与非县域农民工市民化质量的差异分解

表5和图2显示了县域与非县域农民工市民化质量RIF分解的结果。同时,本文还汇报了均值分解的结果。从表5的分解结果看出,在均值层面,特征效应对均值总差异的贡献率为46.71%,系数效应对均值总差异的贡献率为53.29%,表明系数差异是造成县域与非县域农民工市民化质量差异的主要原因,农民工市民化质量存在地区歧视现象。

图片

图片

表5与图2显示,县域农民工市民化质量的区域差异随着分位数的增大而增大,说明高分位数上县域与非县域农民工市民化质量的差距大于低分位数。从贡献率来看,10~75分位点上,特征效应的贡献率要小于系数效应的贡献率,说明在该范围内农民工市民化质量存在着较为突出的地区歧视现象,即县域与非县域的特征回报率差异是造成农民工市民化质量差异的主要原因。总的来说,随着分位数的增大,农民工市民化质量在县域与非县域的歧视现象越来越弱,但系数效应仍然较高,在90分位点上系数效应的贡献率最低,但仍解释了42.42%的区域差异,说明农民工市民化质量的地区歧视现象仍然较为明显。

表6汇报了各解释变量对特征效应与系数效应的影响。值得注意的是,受教育年限对可解释的市民化质量差异贡献较大,并且随着分位数的提高贡献率呈现不断上升的趋势,在90分位点上,受教育年限对特征总差异贡献率达到了77.07%。在系数效应中,受教育年限在系数差异的贡献率中占比也较大。从均值来看,受教育年限系数差异贡献率占到总贡献率的95.11%;从分位点上来看,在15~75分位点范围,随着分位点的提高,系数差异的贡献率越来越大,在75分位点上,教育水平的系数差异贡献率占到总贡献率的145.83%,这说明教育回报率在县域与非县域之间存在着较大的差距,非县域农民工的教育回报率要远高于县域农民工,从而导致两群体市民化质量产生差异。

图片


四、结论

(一)结论

本文以县域层面的新视角为切入点,基于中国流动人口动态监测调查数据,从经济、社会、文化、政治4个维度构建县域农民工市民化质量的综合评价指标体系,采用逐级等权平均法对县域农民工市民化质量进行了全面测度与分析,并从群体的视角进一步探讨了县域与非县域农民工市民化质量存在差异的影响因素。主要结论如下:①县域农民工市民化质量还处于较低的层次,尤其是在经济、政治2个维度的市民化质量相对较低,同时县域农民工市民化质量在地理空间上呈现出东高西低的分布格局,各省份在不同维度上的县域农民工市民化质量指数差异较为明显,群体差异分析表明县域农民工的市民化质量低于非县域农民工。②RIF因素分解显示,县域与非县域农民工市民化质量的差异主要是由地区歧视造成的,这一差异随着分位数的提升而增大,但地区歧视随着市民化质量的提升逐渐减弱,具体分解表明地区歧视主要表现为教育回报率的差异,非县域农民工的教育回报率要明显高于县域农民工。

(二)建议

基于本文研究结论,为有效提高县域农民工市民化质量,提出以下政策建议。

①大力发展县域经济,制定完善的产业扶持政策。培育县域特色优势产业,推动形成“一县一业”发展格局,增强县域经济的竞争力,结合县城建设示范地区,缩小与非县域的经济差距,给农民工提供良好的县域经济环境,提高县域农民工经济维度的市民化质量,从总体上推动县域农民工市民化的发展。

②统筹规划、因城施策,推进县域农民工市民化向纵深发展。我国县域的自然条件、区位条件、产业基础和人口规模差异显著,对于不同类型的县域应具体问题具体分析,发挥不同地区县城的区位优势,考虑县城之间的差异性,明确不同类型县城的不同功能、定位与发展方向,推进东西部县域协调均衡。

③优化县域农民工的就业环境,减少农民工在不同行业、部门的准入壁垒。加强“同工不同酬”的监管力度,推动城镇职工险对县域就业农民工的覆盖,使农民工享有与县城职工同等的权利与福利,提高农民工在县域的就业质量,助力县域农民工市民化。

④优化财政转移机制,改善县城财政和公共服务供给不足的状况。健全财政转移支付与农业转移人口市民化挂钩机制,推动基本公共服务供给由注重行政区域覆盖向注重常住人口服务覆盖转变,实现县域范围财权与事权一致。全面落实取消县城落户限制政策,切实保障农业转移人口及其子女在县城平等享有教育、医疗、住房、保险等基本公共服务的权利,缩小县域农民工与非县域农民工在市民化质量上的回报率差异。